* Add the initial translation of chapter "divide and conquer" * Update index.md * Update summary.md * Update index.md * Update summary.md
5.3 KiB
Tower of Hanoi Problem
In both merge sorting and building binary trees, we decompose the original problem into two subproblems, each half the size of the original problem. However, for the Tower of Hanoi, we adopt a different decomposition strategy.
!!! question
Given three pillars, denoted as `A`, `B`, and `C`. Initially, pillar `A` is stacked with $n$ discs, arranged in order from top to bottom from smallest to largest. Our task is to move these $n$ discs to pillar `C`, maintaining their original order (as shown below). The following rules must be followed during the disc movement process:
1. A disc can only be picked up from the top of a pillar and placed on top of another pillar.
2. Only one disc can be moved at a time.
3. A smaller disc must always be on top of a larger disc.
We denote the Tower of Hanoi of size i as $f(i)$. For example, f(3) represents the Tower of Hanoi of moving 3 discs from A to C.
Consider the base case
As shown below, for the problem f(1), i.e., when there is only one disc, we can directly move it from A to C.
As shown below, for the problem f(2), i.e., when there are two discs, since the smaller disc must always be above the larger disc, B is needed to assist in the movement.
- First, move the smaller disc from
AtoB. - Then move the larger disc from
AtoC. - Finally, move the smaller disc from
BtoC.
The process of solving the problem f(2) can be summarized as: moving two discs from A to C with the help of B. Here, C is called the target pillar, and B is called the buffer pillar.
Decomposition of subproblems
For the problem f(3), i.e., when there are three discs, the situation becomes slightly more complicated.
Since we already know the solutions to f(1) and f(2), we can think from a divide-and-conquer perspective and consider the two top discs on A as a unit, performing the steps shown below. This way, the three discs are successfully moved from A to C.
- Let
Bbe the target pillar andCthe buffer pillar, and move the two discs fromAtoB. - Move the remaining disc from
Adirectly toC. - Let
Cbe the target pillar andAthe buffer pillar, and move the two discs fromBtoC.
Essentially, we divide the problem f(3) into two subproblems f(2) and one subproblem $f(1)$. By solving these three subproblems in order, the original problem is resolved. This indicates that the subproblems are independent, and their solutions can be merged.
From this, we can summarize the divide-and-conquer strategy for solving the Tower of Hanoi shown in the following image: divide the original problem f(n) into two subproblems f(n-1) and one subproblem f(1), and solve these three subproblems in the following order.
- Move
n-1discs with the help ofCfromAtoB. - Move the remaining one disc directly from
AtoC. - Move
n-1discs with the help ofAfromBtoC.
For these two subproblems f(n-1), they can be recursively divided in the same manner until the smallest subproblem f(1) is reached. The solution to f(1) is already known and requires only one move.
Code implementation
In the code, we declare a recursive function dfs(i, src, buf, tar) whose role is to move the i discs on top of pillar src with the help of buffer pillar buf to the target pillar tar:
[file]{hanota}-[class]{}-[func]{solve_hanota}
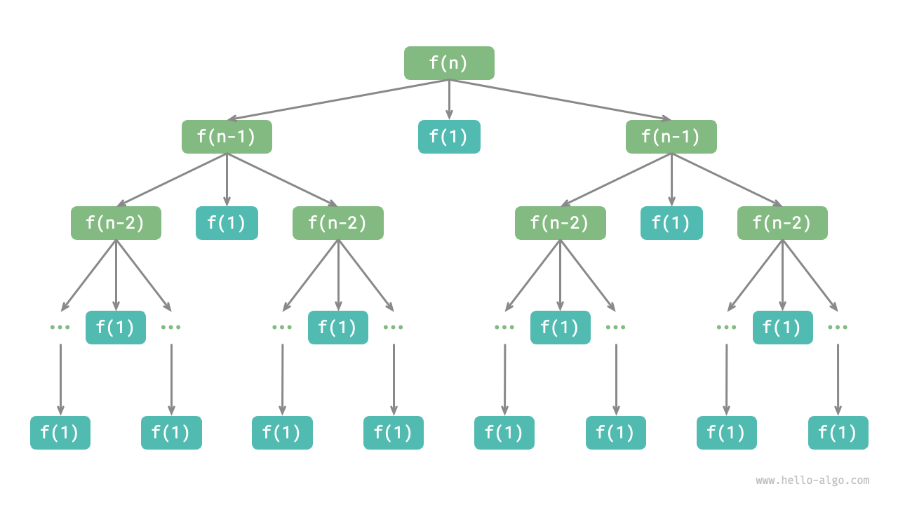
As shown below, the Tower of Hanoi forms a recursive tree with a height of n, each node representing a subproblem, corresponding to an open dfs() function, thus the time complexity is O(2^n), and the space complexity is $O(n)$.
!!! quote
The Tower of Hanoi originates from an ancient legend. In a temple in ancient India, monks had three tall diamond pillars and $64$ differently sized golden discs. The monks continuously moved the discs, believing that when the last disc is correctly placed, the world would end.
However, even if the monks moved a disc every second, it would take about $2^{64} \approx 1.84×10^{19}$ seconds, approximately 585 billion years, far exceeding current estimates of the age of the universe. Thus, if the legend is true, we probably do not need to worry about the world ending.












