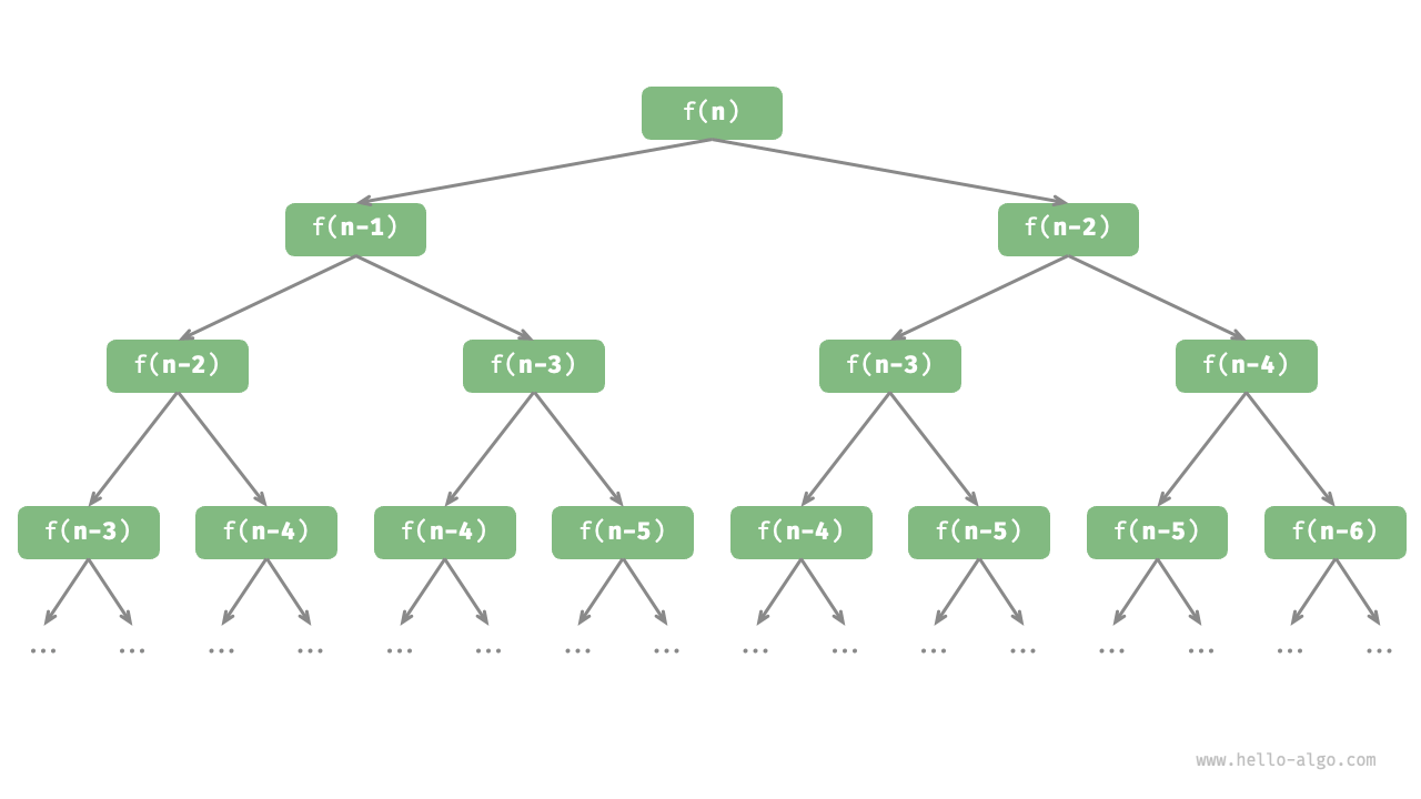
# 迭代与递归 在算法中,重复执行某个任务是很常见的,它与复杂度分析息息相关。因此,在介绍时间复杂度和空间复杂度之前,我们先来了解如何在程序中实现重复执行任务,即两种基本的程序控制结构:迭代、递归。 ## 迭代 「迭代 iteration」是一种重复执行某个任务的控制结构。在迭代中,程序会在满足一定的条件下重复执行某段代码,直到这个条件不再满足。 ### for 循环 `for` 循环是最常见的迭代形式之一,**适合在预先知道迭代次数时使用**。 以下函数基于 `for` 循环实现了求和 $1 + 2 + \dots + n$ ,求和结果使用变量 `res` 记录。需要注意的是,Python 中 `range(a, b)` 对应的区间是“左闭右开”的,对应的遍历范围为 $a, a + 1, \dots, b-1$ : ```src [file]{iteration}-[class]{}-[func]{for_loop} ``` 下图是该求和函数的流程框图。 ![求和函数的流程框图](iteration_and_recursion.assets/iteration.png) 此求和函数的操作数量与输入数据大小 $n$ 成正比,或者说成“线性关系”。实际上,**时间复杂度描述的就是这个“线性关系”**。相关内容将会在下一节中详细介绍。 ### while 循环 与 `for` 循环类似,`while` 循环也是一种实现迭代的方法。在 `while` 循环中,程序每轮都会先检查条件,如果条件为真,则继续执行,否则就结束循环。 下面我们用 `while` 循环来实现求和 $1 + 2 + \dots + n$ : ```src [file]{iteration}-[class]{}-[func]{while_loop} ``` **`while` 循环比 `for` 循环的自由度更高**。在 `while` 循环中,我们可以自由地设计条件变量的初始化和更新步骤。 例如在以下代码中,条件变量 $i$ 每轮进行两次更新,这种情况就不太方便用 `for` 循环实现: ```src [file]{iteration}-[class]{}-[func]{while_loop_ii} ``` 总的来说,**`for` 循环的代码更加紧凑,`while` 循环更加灵活**,两者都可以实现迭代结构。选择使用哪一个应该根据特定问题的需求来决定。 ### 嵌套循环 我们可以在一个循环结构内嵌套另一个循环结构,下面以 `for` 循环为例: ```src [file]{iteration}-[class]{}-[func]{nested_for_loop} ``` 下图是该嵌套循环的流程框图。 ![嵌套循环的流程框图](iteration_and_recursion.assets/nested_iteration.png) 在这种情况下,函数的操作数量与 $n^2$ 成正比,或者说算法运行时间和输入数据大小 $n$ 成“平方关系”。 我们可以继续添加嵌套循环,每一次嵌套都是一次“升维”,将会使时间复杂度提高至“立方关系”“四次方关系”,以此类推。 ## 递归 「递归 recursion」是一种算法策略,通过函数调用自身来解决问题。它主要包含两个阶段。 1. **递**:程序不断深入地调用自身,通常传入更小或更简化的参数,直到达到“终止条件”。 2. **归**:触发“终止条件”后,程序从最深层的递归函数开始逐层返回,汇聚每一层的结果。 而从实现的角度看,递归代码主要包含三个要素。 1. **终止条件**:用于决定什么时候由“递”转“归”。 2. **递归调用**:对应“递”,函数调用自身,通常输入更小或更简化的参数。 3. **返回结果**:对应“归”,将当前递归层级的结果返回至上一层。 观察以下代码,我们只需调用函数 `recur(n)` ,就可以完成 $1 + 2 + \dots + n$ 的计算: ```src [file]{recursion}-[class]{}-[func]{recur} ``` 下图展示了该函数的递归过程。 ![求和函数的递归过程](iteration_and_recursion.assets/recursion_sum.png) 虽然从计算角度看,迭代与递归可以得到相同的结果,**但它们代表了两种完全不同的思考和解决问题的范式**。 - **迭代**:“自下而上”地解决问题。从最基础的步骤开始,然后不断重复或累加这些步骤,直到任务完成。 - **递归**:“自上而下”地解决问题。将原问题分解为更小的子问题,这些子问题和原问题具有相同的形式。接下来将子问题继续分解为更小的子问题,直到基本情况时停止(基本情况的解是已知的)。 以上述求和函数为例,设问题 $f(n) = 1 + 2 + \dots + n$ 。 - **迭代**:在循环中模拟求和过程,从 $1$ 遍历到 $n$ ,每轮执行求和操作,即可求得 $f(n)$ 。 - **递归**:将问题分解为子问题 $f(n) = n + f(n-1)$ ,不断(递归地)分解下去,直至基本情况 $f(1) = 1$ 时终止。 ### 调用栈 递归函数每次调用自身时,系统都会为新开启的函数分配内存,以存储局部变量、调用地址和其他信息等。这将导致两方面的结果。 - 函数的上下文数据都存储在称为“栈帧空间”的内存区域中,直至函数返回后才会被释放。因此,**递归通常比迭代更加耗费内存空间**。 - 递归调用函数会产生额外的开销。**因此递归通常比循环的时间效率更低**。 如下图所示,在触发终止条件前,同时存在 $n$ 个未返回的递归函数,**递归深度为 $n$** 。 ![递归调用深度](iteration_and_recursion.assets/recursion_sum_depth.png) 在实际中,编程语言允许的递归深度通常是有限的,过深的递归可能导致栈溢出错误。 ### 尾递归 有趣的是,**如果函数在返回前的最后一步才进行递归调用**,则该函数可以被编译器或解释器优化,使其在空间效率上与迭代相当。这种情况被称为「尾递归 tail recursion」。 - **普通递归**:当函数返回到上一层级的函数后,需要继续执行代码,因此系统需要保存上一层调用的上下文。 - **尾递归**:递归调用是函数返回前的最后一个操作,这意味着函数返回到上一层级后,无须继续执行其他操作,因此系统无须保存上一层函数的上下文。 以计算 $1 + 2 + \dots + n$ 为例,我们可以将结果变量 `res` 设为函数参数,从而实现尾递归: ```src [file]{recursion}-[class]{}-[func]{tail_recur} ``` 尾递归的执行过程如下图所示。对比普通递归和尾递归,两者的求和操作的执行点是不同的。 - **普通递归**:求和操作是在“归”的过程中执行的,每层返回后都要再执行一次求和操作。 - **尾递归**:求和操作是在“递”的过程中执行的,“归”的过程只需层层返回。 ![尾递归过程](iteration_and_recursion.assets/tail_recursion_sum.png) !!! tip 请注意,许多编译器或解释器并不支持尾递归优化。例如,Python 默认不支持尾递归优化,因此即使函数是尾递归形式,仍然可能会遇到栈溢出问题。 ### 递归树 当处理与“分治”相关的算法问题时,递归往往比迭代的思路更加直观、代码更加易读。以“斐波那契数列”为例。 !!! question 给定一个斐波那契数列 $0, 1, 1, 2, 3, 5, 8, 13, \dots$ ,求该数列的第 $n$ 个数字。 设斐波那契数列的第 $n$ 个数字为 $f(n)$ ,易得两个结论。 - 数列的前两个数字为 $f(1) = 0$ 和 $f(2) = 1$ 。 - 数列中的每个数字是前两个数字的和,即 $f(n) = f(n - 1) + f(n - 2)$ 。 按照递推关系进行递归调用,将前两个数字作为终止条件,便可写出递归代码。调用 `fib(n)` 即可得到斐波那契数列的第 $n$ 个数字: ```src [file]{recursion}-[class]{}-[func]{fib} ``` 观察以上代码,我们在函数内递归调用了两个函数,**这意味着从一个调用产生了两个调用分支**。如下图所示,这样不断递归调用下去,最终将产生一棵层数为 $n$ 的「递归树 recursion tree」。 ![斐波那契数列的递归树](iteration_and_recursion.assets/recursion_tree.png) 从本质上看,递归体现了“将问题分解为更小子问题”的思维范式,这种分治策略至关重要。 - 从算法角度看,搜索、排序、回溯、分治、动态规划等许多重要算法策略直接或间接地应用了这种思维方式。 - 从数据结构角度看,递归天然适合处理链表、树和图的相关问题,因为它们非常适合用分治思想进行分析。 ## 两者对比 总结以上内容,如下表所示,迭代和递归在实现、性能和适用性上有所不同。

  迭代与递归特点对比

| | 迭代 | 递归 | | -------- | -------------------------------------- | ------------------------------------------------------------ | | 实现方式 | 循环结构 | 函数调用自身 | | 时间效率 | 效率通常较高,无函数调用开销 | 每次函数调用都会产生开销 | | 内存使用 | 通常使用固定大小的内存空间 | 累积函数调用可能使用大量的栈帧空间 | | 适用问题 | 适用于简单循环任务,代码直观、可读性好 | 适用于子问题分解,如树、图、分治、回溯等,代码结构简洁、清晰 | !!! tip 如果感觉以下内容理解困难,可以在读完“栈”章节后再来复习。 那么,迭代和递归具有什么内在联系呢?以上述递归函数为例,求和操作在递归的“归”阶段进行。这意味着最初被调用的函数实际上是最后完成其求和操作的,**这种工作机制与栈的“先入后出”原则异曲同工**。 事实上,“调用栈”和“栈帧空间”这类递归术语已经暗示了递归与栈之间的密切关系。 1. **递**:当函数被调用时,系统会在“调用栈”上为该函数分配新的栈帧,用于存储函数的局部变量、参数、返回地址等数据。 2. **归**:当函数完成执行并返回时,对应的栈帧会被从“调用栈”上移除,恢复之前函数的执行环境。 因此,**我们可以使用一个显式的栈来模拟调用栈的行为**,从而将递归转化为迭代形式: ```src [file]{recursion}-[class]{}-[func]{for_loop_recur} ``` 观察以上代码,当递归转化为迭代后,代码变得更加复杂了。尽管迭代和递归在很多情况下可以互相转化,但不一定值得这样做,有以下两点原因。 - 转化后的代码可能更加难以理解,可读性更差。 - 对于某些复杂问题,模拟系统调用栈的行为可能非常困难。 总之,**选择迭代还是递归取决于特定问题的性质**。在编程实践中,权衡两者的优劣并根据情境选择合适的方法至关重要。